ANASAYFA
BORSAMIZ HAKKINDA
TARİHÇE
VİZYONUMUZ
MİSYONUMUZ
Stratejik Plan 2024-2028
POLİTİKALARIMIZ
Stratejik Plan 2013-2016
BORSACILIĞIN GELİŞİMİ
MECLİS
YÖNETİM KURULU
YASAL MEVZUAT
Kotasyon Listesi
Stratejik Plan 2019-2023
2022 FAALİYET RAPORU
2024 FAALİYET RAPORU
2023 FAALİYET RAPORU
BİRİMLERİMİZ
Genel Sekreterlik
Laboratuvar
Proje Uzmanı
MUHASEBE/TESCİL
ÜYE İŞLEMLERİ
Kayıt Belgeleri(Gerçek Kişi)
Neden Üye Olmalıyım
Nasıl Üye Olabilirim
Üye Sorumlulukları
Kayıt Belgeleri (Tüzel Kişilik)
DUYURULAR
FOTOĞRAF GALERİ
PROJELERİMİZ
BÜLTEN/FİYAT
Haftalık Bülten
Aylık Bülten
Yıllık Bülten 2024
GÜNLÜK BÜLTEN
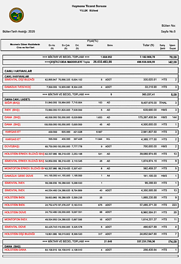
YILLIK BÜLTEN 2025
BASINDA BİZ
İLETİŞİM
YILLIK BÜLTEN 2025
Anasayfa
YILLIK BÜLTEN 2025